Bihar Polytechnic Mock Test 4 

Bihar Polytechnic Mock Test 4

#biharpolytechnic#biharpolytechnic2026#biharpolytechnicmocktest#biharpolytechnicmocktest4#dcecemocktest
#dcece2026#dceceexam#biharpolytechnicexam#biharpolytechnicquestion

Bihar Polytechnic Mock Test 4 

Welcome to your BIHAR POLYTECHNIC SET-4

1. द्वितीयक ईंधन का एक उदाहरण है-

2. निम्नलिखित यौगिकों में से किसका न्यूनतम उष्मीय मान होता है ?

3. प्रत्येक गर्म वस्तु उत्सर्जित करता है-

4. निम्नलिखित ईंधनों में से कौन-सा दूसरों से भिन्न है ?

5. निम्नलिखित में कौन-सा ईंधन जलाये जाने पर न्यूनतम प्रदूषण का कारण बनता है?

6. निम्नलिखित में से कौन-सा एक बेहतर नाभिकीय ईंधन है ?

7. प्रति इकाई द्रव्यमान उत्सर्जित ऊर्जा है-

8. पृथ्वी के द्रव्यमान की अपेक्षा बृहस्पति का द्रव्यमान ............ गुना है।

9. निम्नलिखित ग्रहों में से किसके उपग्रहों की संख्या न्यूनतम है ?

10. निम्नलिखित में से कौन-सी दूरी की सबसे न्यूनतम इकाई है ?

11. एक समतल दर्पण पर 35° के कोण पर एक प्रकाश आपतित है, तो कोण θ का मान है-

12. निम्नलिखित में से कौन-सा दर्पण एक दिये हुए बिन्दु पर प्रकाश को केन्द्रित करने के प्रयोग में लाया जाता है ?

13. एक लड़का एक समतल दर्पण से 3 मीटर की दूरी पर दर्पण के सामने खड़ा है। यदि लड़का 1 मीटर पीछे की ओर गति करता है तब लड़के और उसके प्रतिबिम्ब के बीच की दूरी होगी-

14. रेटिना पर प्रतिबिम्ब कितने समय तक रहता है ?

15. अपवर्तनांक की इकाई है-

16. हमारा नेत्र किसके गुण का प्रयोग करता है ?

17. एक सामान्य मानव नेत्र की दृष्टि रेन्ज है-

18. जब एक एकवर्णीय प्रकाश एक प्रिज्म से गुजरता है, तो निम्नलिखित चित्रों में कौन-सा सही है ?

19. निम्नलिखित में से कौन-सा दर्पण एक कार की हेडलाइट में प्रयोग में लाया जाता है ?

20. कितने इलेक्ट्रॉन एक सेकण्ड में एक माइक्रोएम्पीयर की धारा बनाते हैं ?

21. एक व्यक्ति चार 41Ω वाले सेल को श्रेणीक्रम में जोड़ता है, परन्तु एक सेल का टर्मिनल उल्टा जुड़ जाता है। बाह्य प्रतिरोध 1Ω है। यदि प्रत्येक सेल का विद्युतवाहक बल 1.5 V है, तो प्रवाहित विद्युत धारा का मान होगा-

22. यदि 1Ω प्रतिरोध वाले एक तार को तनित कर इसकी लम्बाई को दोगुना कर दिया जाता है, तब इसका प्रतिरोध हो जाएगा-

23. विद्युत विभव है-

24. एक बिजली के हीटर को गर्म करने वाली कुंडली जिस पदार्थ की बनी होती है, उसकी विशेषता है-

25. एक गैल्वेनोमापी को एक वोल्टमापी बनाने के लिए निम्नलिखित में से किसकी आवश्यकता होगी ?

26. एक 220 V, 100 W के बल्ब को 110 V के बीच से जोड़ा जाता है, बल्ब द्वारा खपत शक्ति होगा-

27. 12 Ω के तीन प्रतिरोधक एक समत्रिबाहु त्रिभुज बनाते हैं। किन्हीं दो शीर्षों के बीच प्रतिरोध होगा-

28. एक आदर्श सेल के आंतरिक प्रतिरोध का मान है-

29. विद्युत संश्लेषण या विद्युत विच्छेदन का नियम इन्होंने दिया था-

30. फ्लेमिंग के बाएँ हाथ के नियम में मध्य अंगुली/उँगली किसकी ओर इंगित करता है ?

31. N पहचान के लिए लसेग्ने परीक्षण (Lassaigne's Test) निम्न में से किसके साथ होता है ?

32. नाभिक का आकार है-

33. ............ गैस विकसित होती है, जब जिंक हाइड्रोक्लोरिक एसिड के साथ अभिक्रिया करता है।

34. कौन-सा एक इलेक्ट्रॉन स्नेही नहीं है ?

35. अभिक्रिया CH_22=CH_2□(→┴HOCl M□(→┴R )) ■(〖CH〗_2 OH@〖CH〗_2 OH) में M और R क्या है?

36. यौगिक CH3−C=C−CH3 को क्षारीय ∣∣ CH3H KMnO4 विलयन के साथ क्रिया कराने पर देता है-

37. किस धातु ऑक्साइड का C के साथ अपचयन नहीं होगा ?

38. कौन-सा निम्न युग्म के पदार्थ H_2O से अभिक्रिया कर समान गैसें उत्पन्न करता है ?

39. कौन-सी धातु शीतल तनु HNO_3 के साथ क्रिया कर H_2उत्पन्न करती है ?

40. o_2 किसके साथ प्रत्यक्ष रूप में अभिक्रिया नहीं करती ?

41. किस एक में 4 एकांकी युग्म इलेक्ट्रॉन होता है ?

42. किसी भी घोल का pH मान क्या होगा, यदि उसमें से H^+ आयन का सांद्रण 0.01M हो?

43. आमाशय रस की pH लगभग क्या होगी ?

44. कौन Cl के साथ एक से अधिक यौगिक का निर्माण कर सकता है?

45. बढ़ती हुई एलेक्ट्रोनगेटीविटीज का कौन-सा क्रम सही है ?

46. निम्नलिखित इलेक्ट्रॉनिक आयनों में किसका आकार सर्वाधिक है ?

47. किसका परिष्करण सिल्वर ग्लांस से होता है ?

48. मृदु साबुन लवण होता है-

49. कौन-सा गैस उच्च दाब, उच्च ताप और एक उत्प्रेरक की उपस्थिति में CH_3OH को CH_3COOH में बदल देती है ?

50. एक यौगिक में नाइट्रोजन तथा ऑक्सीजन 28 ग्राम : 80 ग्राम अनुपात में है। इस यौगिक का सूत्र है-

51. 27 ग्राम Al के, ऑक्सीजन के कितने ग्राम के साथ सम्पूर्ण रूप में अभिक्रिया करेगा ?

52. HCHO में C की ऑक्सीकरण संख्या है-

53. यदि KMnO_4 का आण्विक भार M है, तो इसका तुल्यांकी भार जब वह K_2MnO_4में परिवर्तित होगा-

54. 2-मिथाइल प्रोपेन निम्नलिखित में से किसका एक समावयव है ?

55. C-C की न्यूनतम बंध लम्बाई किसमें है ?

56. प्रयोगशाला में प्रथम संश्लेषित कार्बनिक यौगिक है-

57. हकल नियम के अनुसार एक चक्रीय युग्मक यौगिक एरोमेटिक होगा यदि इसमें इस संख्या के इलेक्ट्रॉन हों-

58. निम्न में से कौन-सा यौगिक प्रकाश सक्रिय है ?

59. एक प्रबल क्षार इसमें α−H को Abstract कर सकता है-

60. CH_4 में सिग्मा Bond की संख्या कितनी है?

61. यदि θ न्यूनकोण है और (〖cos〗^2 θ)/(〖cot〗^2 θ-〖cos〗^2 θ)=3, तब θ का मान है-

62. x=rsinα⋅cosβ,y=rsinα⋅sinβ और z=rcosα, तब x2+y2 का मान है-

63. 30 लड़कियों की आयु का औसत 14 वर्ष है। औसत आयु 15 वर्ष की 5 लड़कियाँ कक्षा छोड़कर चली जाती हैं। शेष लड़कियों की आयु का औसत होगा-

64. श्रेणी 37.5, 35, 38, 38.5, 31, 27, 39, 34, 30.5 की माध्यिका है-

65. आयतचित्र ग्राफ, इसका मान निकालने में सहायक होता है-

66. यदि एक संख्याओं के सेट के माध्य एवं माध्यिका क्रमशः 8.9 एवं 9 है, तब उसका मोड (बहुलक) होगा-

67. 2, 3, 1, 2, 5, 3, 2, 2, 3, 5 का मोड (बहुलक) है-

68. एक वर्ग में एक समबाहु त्रिभुज के एक समान परिमाप हैं। यदि वर्ग का विकर्ण 6√2 सेमी० है, तब त्रिभुज का क्षेत्रफल है-

69. यदि एक वृत्त की परिधि एवं त्रिज्या का अंतर 37 सेमी० है, तब वृत्त का क्षेत्रफल है-

70. एक धातु के पाइप का बाह्य व्यास 4 सेमी० एवं अन्तः व्यास 3 सेमी० है और 20 सेमी० लंबाई है, तब प्रयोग में आई धातु का आयतन है-

71. एक आयत का विकर्ण इसकी छोटी भुजा का तीन गुना है, तो भुजाओं का अनुपात है-

72. एक घड़ी की मिनट की सुई की लम्बाई 14 सेमी. है। इस सुई द्वारा 5 मिनट में रचित क्षेत्रफल होगा-

73. 1.5 मी० लम्बा एक प्रक्षक एक मीनार से 30 मी० की दूरी पर है, उसकी आँखों से मीनार के शिखर का उन्नयन कोण 45° हो, तो मीनार की ऊँचाई होगी-

74. यदि f(x) = x^2 + 5x + p एवं g(x) = x^2 + 3x + q का एक गुणक उभयनिष्ठ है, तब (p - q)^2 का मान है-

75. दो अर्द्धगोलीय पात्रों की धारिता 6.4 लीटर एवं 21.6 लीटर है। इन पात्रों के वक्रीय पृष्ठों के क्षेत्रफल का अनुपात होगा-

76. एक बेलन की आधार त्रिज्या इसकी ऊँचाई का 1 2/3 गुना है। इसके वक्रता पृष्ठ क्षेत्रफल को रंग करने की कीमत 2 पैसा प्रतिवर्ग सेन्टीमीटर की दर से 92.40 रू० है। बेलन का आयतन है-

77. A एक कार्य को 20 दिन में कर सकता है, B 30 दिन में तथा C 60 दिन में। यदि प्रत्येक तीसरे दिन A की सहायता ‘B’ एवं ‘C’ करते हैं, तब कितने दिनों में कार्य पूरा हो जाएगा ?

78. 2 के योग प्रतिलोम (Additive Inverse) तथा गुणनफल प्रतिलोम (Multiplicative Inverse) का योग है-

79. यदि (3x^2 + 14x + 16) एवं (6x^3 + 11x^2- 4x - 4) का HCF (x - k) है, तब k का मान है–

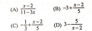
80. -3 +5/(x-2) का प्रतिलोम है–

81. निम्नलिखित विकल्पों में कौन-सा एक x के सभी मानों के लिए 2x - 3 > 7 - x को संतुष्ट करता है ?

82. समीकरण 3x^2 - kx + 14 = 0 के मूल 7 : 6 के अनुपात में हैं। तब k का मान है–

83. यदि एक समानांतर श्रेणी का mवां पद 1/n है और nवां पद 1/m है, तब इसका (mn)वां पद होगा–

84. एक उत्तल बहुभुज के आंतरिक कोणों का माप समानांतर श्रेणी में है। यदि निम्नतम कोण 100° है और अधिकतम कोण 140° है, तब बहुभुज की भुजाओं की संख्या है–

85. एक समानांतर चतुर्भुज के मध्य बिन्दुओं को क्रमागत जोड़ने पर चित्र बनता है, एक–

86. A(-2, 3), B(6, 7) को मिलाने वाली रेखा को P(4, 6) इस अनुपात में बाँटता है–

87. एक पासे को लुढ़काया जाता है। एक सम संख्या आने की प्रायिकता है-

88. यदि cosθ/a= sinθ/b, तब a/sec2θ+b/cosec 2θ का मान है-

89. यदि x =√3+√2 तब[x^2+1/x^2 ] का मान है-

90. एक वृत्त की त्रिज्या 2.5 सेमी. है । AB एवं CD दो समांतर जीवाएँ 2.7 सेमी. दूरी पर हैं । यदि AB = 4.8 सेमी., तब CD का मान है-

 

Important Link 

Join Website Link  Click Here 
Join Telegram Group Click Here
Join WhatsApp Group  Click Here 
Join YouTube Channel Click Here 

 

 

 

 

Leave a Comment

Your email address will not be published. Required fields are marked *

Scroll to Top